Model Train Nostalgia / MP Electronic Devices
Original versus modern motors

This is a part of Model Train Nostalgia site.

This is a part of MP Electronic Devices site.

[Mehano and Mitsumi motors]

When digitising old model trains, I looked into replacing the original Mehano motors (pictured above left) with modern Mitsumi motors of nearly identical dimensions (pictured above right). To compare their electrical characteristics, I measured their current draw and frequency with a pair of infrared emitting and infrared receiving diodes. The light path is interrupted twice per revolution with a symmetrical attachment and the interruptions are counted via the GPIO pin of Raspberry Pi.

Motor characteristics

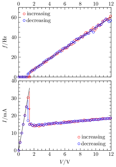
Original Mehano motor

[Mehano voltage characteristics]

The characteristics of an original Mehano motors are shown in the figure above. Note that there is hysteretic behaviour, as the motor only starts up above a certain threshold voltage. Below the threshold voltage, the motor behaves like a constant resistor of 8.6 Ω; above the threshold voltage, the current saturates at about 160 mA. To avoid damaging the motor, the sweep was performed quickly with 0.5 V steps. The upper 12 V frequency is 160 Hz, corresponding to 9600 RPM.

Modern Mitsumi motor

The video above shows the measurement setup for motor characteristics. In the middle is the motor attachment sandwiched between a pair of infrared emitting and infrared receiving diodes. On the right is the Raspberry Pi controlled voltage regulator and the INA219 current and voltage monitor. The experiment must be performed under LED illumination to avoid interference from the daylight infrared contribution.

[Mitsumi voltageLED current characteristics]

The characteristics of a modern Mitsumi motors are shown in the figure above. The hysteretic behaviour is hardly noticeable. Below the threshold voltage, the motor behaves like a constant resistor of 40 Ω above the threshold voltage, the current saturates at about 20 mA. The upper 12 V frequency is 60 Hz, corresponding to 3600 RPM.

Mitsumi motors have much lower current draw and hysteretic behaviour. Modern design and stronger magnets make them much more efficient and a very good substitute from this point of view.

Velocity analysis

To obtain the corresponding HO scale velocity, the real velocity v is first multiplied by 0.447 to convert it to m/s. The velocity is then divided by the HO scale N = 87 to obtain the corresponding model velocity vHO

[Mitsumi voltageLED current characteristics]

Most Mehano diesel model locomotives (ALCO S-2/S-4, ALCO RS-2, ALCO RS-11, ALCO Century 415, ALCO Century 430, ALCO Century 628, EMD F7, EMD F9, EMD GP18, EMD SD40, EMD SW1) have top speed of 65 mph (70 mph). This corresponds to 0.33 m/s (0.36 m/s) for HO scale models. However, such high velocities can only be achieved in reality on very long straight sections of track and require huge acceleration and deceleration times. Such situations are usually not realistic on model railroads, so locomotives are usually run at 35 to 40 mph, which corresponds to 0.18 m/s to 0.21 m/s.

On the other hand, the frequency of the motor can also be related to the velocity of the model locomotive. Using the relations between the frequency f, the angular frequency ω, the gear ratio R and the wheel radius r, we obtain the relation

[Mitsumi voltageLED current characteristics]

For the Mehano model diesel locomotives, the gear ratio R = 8.5 and the wheel radius r = 0.006 m give velocities of 0.71 m/s and 0.27 m/s for Mehano and Mitsumi motors, respectively.

We see that Mehano motors are about twice too fast when we consider the top speed of locomotives. Mitsumi motors, on the other hand, are too slow for the top velocity of locomotives, but are adequate for most realistic velocities on model railroads.

Created by Marko Pinteric.

Updated . Web page has been read by visitors since April 2021.